アクティブローパスフィルタの設計方法が分からず、
悩んでいませんか?
カットオフ周波数やゲインの決め方が分からないと、
実際の回路設計は難しく感じると思います。
この記事では、アクティブローパスフィルタの設計手順を、
初心者向けに分かりやすく解説します。
設計の全体手順
- カットオフ周波数を決める
- コンデンサを決める
- 抵抗を計算する
- ゲインを決める
この順番で設計すればOKです。
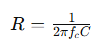
1. カットオフ周波数を決める
まず「どの周波数まで通すか」を決めます。
例:1kHzまで通したい → fc = 1kHz
2. コンデンサを決める
扱いやすい値を先に決めます。
例:0.01μF、0.1μF など
市販値から選ぶのがポイントです。
コンデンサは選べる値が限られているため、
先に決めることで設計がしやすくなります。
3. 抵抗を計算する

カットオフ周波数から抵抗値を計算します。
4. ゲインを決める(非反転型)

必要な増幅率に応じて抵抗を決めます。
設計例
条件
fc = 1kHz
C = 0.1μF
ゲイン = 2倍
抵抗計算
計算で求めた抵抗値は、
E12系列などの標準値に丸めて使用します。
R ≈ 1.59kΩ → 1.6kΩ
ゲイン設計
R1 = 10kΩ
R2 = 10kΩ
これで「1kHzでカット・2倍増幅」の回路になります。

回路構成

フィルタと増幅を組み合わせます。
設計のコツ
・コンデンサは先に決める
・抵抗は計算で求める
・標準値に丸める
よくある失敗
・RやCが極端すぎる
・ゲインを大きくしすぎる
・電源を考慮していない
オペアンプの制約
実際のオペアンプでは、
・電源電圧
・スルーレート
・ゲイン帯域幅(GBW)
の影響を受けるため、理想通りにならない場合があります。
まとめ
・fcからRとCを決める
・ゲインはオペアンプで調整
・順番通りに設計すればOK
理解を深めたい方はこちら
・アクティブフィルタとは?:https://saigusalife.com/op-amp/active-filter/
・ローパスフィルタとは?:https://saigusalife.com/op-amp/low-pass-filter/
・非反転増幅回路とは?:https://saigusalife.com/op-amp/non-inverting-amplifier-op-amp/
・カットオフ周波数とは?:https://saigusalife.com/op-amp/cutoff-frequency/
