ハイパスフィルタについて、
・RL回路での動作が知りたい
・RC回路との違いが分からない
・カットオフ周波数の求め方が知りたい
と悩んでいませんか?
本記事では、RLハイパスフィルタの仕組みから動作原理、計算方法までを初心者向けにわかりやすく解説します。
ハイパスフィルタとは?
ハイパスフィルタとは、一定の周波数より高い信号を通し、
低い周波数の信号を減衰させる回路です。
RLハイパスフィルタの回路構成
RLハイパスフィルタは、コイル(L)と抵抗(R)で構成されます。
入力 → 抵抗 → コイル → 出力
出力はコイルの両端から取り出します。

動作原理
コイルは周波数によってインピーダンスが変化します。
・低周波:インピーダンスが小さい → 電圧がコイルにかからない
・高周波:インピーダンスが大きい → 電圧がコイルにかかる
この性質により、高周波のみが出力されます。
コイルのインピーダンスは以下で表されます。
Z = jωL
RLローパスフィルタとの違い
RLハイパスフィルタとRLローパスフィルタの違いは以下の通りです。
| 項目 | ハイパス | ローパス |
|---|---|---|
| 出力位置 | コイル側 | 抵抗側 |
| 通す信号 | 高周波 | 低周波 |
RLローパスフィルタの記事はこちら
RCハイパスフィルタとの違い
| 項目 | RL | RC |
|---|---|---|
| 使用部品 | コイル | コンデンサ |
| 特性 | 高周波で電圧が増加 | 高周波で電圧が通過 |
※RC回路の方が一般的に使用されます。
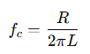
カットオフ周波数
カットオフ周波数 fc は以下の式で求められます。

※RLローパスフィルタと同じ式になります。
周波数特性
周波数が高くなるほど出力が大きくなります。
カットオフ周波数を境に出力特性が変化します。

用途
RLハイパスフィルタは以下の用途で使用されます。
・低周波ノイズの除去
・信号のカップリング
・電源回路の調整
よくある疑問
Q. なぜ低周波が通らないのか?
コイルのインピーダンスが小さいため、電圧がほとんど発生しないからです。
次に読むべき記事
RLローパスフィルタについてはこちらをご覧ください。
👉 RLローパスフィルタの記事はこちら
まとめ
本記事では、RLハイパスフィルタについて解説しました。
・高周波を通す回路
・コイルの特性を利用
・出力位置が重要
